显著性差异分析abcd字母标记法
👋 显著性差异分析之后,需要标注差异结果。通常有两种方式,即:用星号标注;或者abcd标注。 两种方式都是可以的,不过当组别较少时,可能*较为直观;当组别较多时,abcd更为简洁。
森言森语
显著性差异分析之后,需要标注差异结果。通常有两种方式,即:用*标注;或者abcd标注。 两种方式都是可以的,不过当组别较少时,可能*较为直观;当组别较多时,abcd更为简洁。
显著性差异字母标记法
- 首先将全部平均数从大到小依次排列,然后在最大的平均数上标上字母a;
- 并将该平均数与以下各平均数相比,凡相差不显著的,都标上字母a,直至某一个与之相差显著的平均数,标记字母b;
- 再以该标有b的该平均数为标准,与上方各个比它大的平均数比较,凡不显著的也一律标以字母b;再以标有b的最大平均数为标推,与以下各未标记的平均数比,凡不显著的继续标以字母b,直至遇到某一个与其差异显著的平均数标记c。
凡有一个相同标记字母的即为差异不显著,凡具不同标记字母的即为差异显著.
一般小写字母表示显著水平α = 0.05;大写字母表示显著水平α = 0.01
简单举个栗子
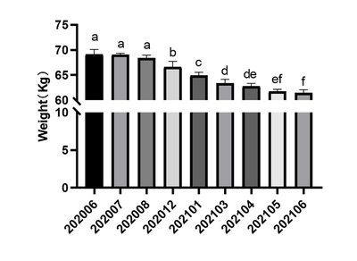
分析一下过去一年每个月我的体重变化是否显著。应该还蛮有趣的。
这里就用SPSS来做单因素方差分析。是因为我感觉结果会清晰一些。当然实现的方法太多。


结果分析
说明我的体重自去年8月份持续跑步以来,每个月都以极显著的趋势下降,但随着体重接近60kg,下降趋势逐渐缓慢。
这就说明还是可以随时控制体重的嘛。
题外话,其实上图一看就是graphpad做的,但实际上像这种显著性差异分析在graphpad或者origin就可以完成,没必要额外使用spss。只是我觉得spss的结果更直观一点,不容易标错。