2021 09 07 R语言 绘制热图 参数设置
森言森语:
之前几次写到关于热图的一些推文,《Origin——绘制热图(若干在线网站绘heatmap)》和《试图厘清热图相关的一些细节》。不同的方法各有千秋,但有时为了满足一些需求,不得不使用R来绘图。
【进入正题】
R中可以用来绘制热图的Packages很多,起码有10个左右,今天我想写一下关于pheatmap的一些简单用法。数据还是使用之前例子中用过的数据。

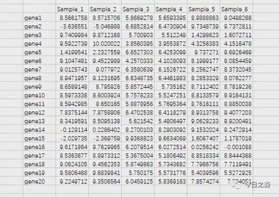
【数据准备】
暂且将上述数据理解为tpm值,这里通过log2(X)进行标准化,这一步在excel里面实现即可。

将该excel文件保存为csv文件。

【R绘图】
1、打开Rstudio
#选择文件,这里只提供一种方式而已。
filepath<-file.choose() #run之后选择刚才的example.csv即可
#定义文件所在位置,并赋值给df
jrzs<-read.csv(filepath,header = T,row.names = 1) #header意为有表头,row.names意为设置行标题
#安装pheatmap包
install.packages(“pheatmap”)
#加载pheatmap包
library(pheatmap)
#数据框矩阵化
jrzs1<-as.matrix(jrzs)
#绘最简单的热图
pheatmap(jrzs1) #run
这样就可以得到pheatmap函数默认状态下最基础的热图了。

下面对几个我认为比较实用的参数进行说明。
1、行列是否聚类
#列聚类
cluster_cols = F
#行聚类
cluster_rows = F
以T或F选择是或否
2、列标签角度
#列标签角度设置 (0, 45, 90, 270 and 315)
angle_col =
3、热图色块设置
#热图色块设置 color=colorRampPalette(colors=c(“blue”,“white”,“red”))
#还可设置色阶,如果是三色,最好设置奇数,这样可以把中间色凸显出来
color=colorRampPalette(colors=c(“blue”,“white”,“red”))(10)
4、色块的高和宽
#色块的高度和宽度设置
cellwidth = 30,cellheight = 10
5、按照聚类情况进行切割
cutree_rows = 3,cutree_cols = 3
6、聚类树的高低
#如果不设置,则默认值为50
treeheight_row = 80,treeheight_col = 20
7、热图中显示表达量
display_numbers = T


总体来说还是不错的。
当然,这里仅对最基本的参数进行了说明。还可以进行更为丰富的设置。